其实咱们平时也能发现,东部沿海比如江浙沪、闽粤一带,人们肥胖率不高,人均寿命也更长。以前总觉得是环境好、压力小,但其实有篇研究直接实锤了:长期形成的饮食习惯,才是关键!
《Nature Health》的研究——浙大、中国疾控中心等专家联合证实,东部沿海的“东部饮食”,能防肥胖、护血管,降低心血管疾病风险。

01
什么是“东部饮食”?
研究团队找了8931名东部沿海居民,做了长期跟踪,用专业的数据分析方法,找出了两种最常见的饮食模式。
其中一种模式(占了46.8%的人),完全贴合《中国居民膳食指南(2022)》里说的东部健康饮食,被专家正式命名为“东部饮食”——简单说,就是“多吃好的,少吃糟的”,具体看这两点:
• 多吃这些:蔬菜、水果、海鲜、全谷物、坚果、乳制品、鸡蛋、豆制品、芋头/红薯/莲藕这类淀粉根茎、淡水鱼、菌菇(比如香菇、金针菇);
• 少吃这些:白米饭、白面条这类精制谷物、油炸食品、猪肉牛肉羊肉这类红肉+香肠腊肉这类加工肉、酒精。
从营养成分来看,吃“东部饮食”的人,蛋白质、膳食纤维、胆固醇(好胆固醇为主)还有各种微量营养素,摄入量都明显更高——这些都是维持身体代谢、保护血管的关键,比单独吃某一种补剂更全面。
核心发现1:
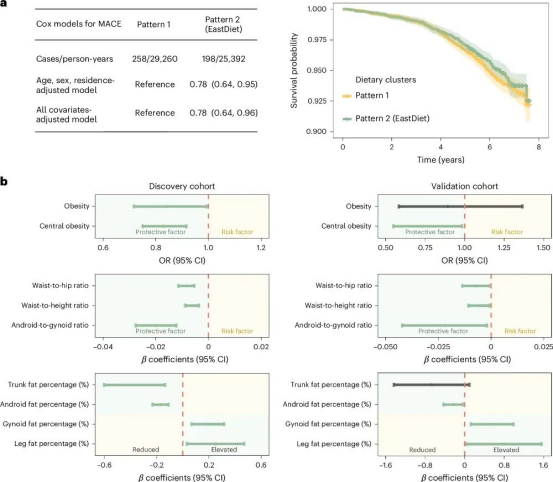
吃对东部饮食,心血管疾病风险直降22%!
研究跟踪了6年多(中位随访6.3年),记录了456例心血管不良事件(比如心梗、脑梗这些致命问题)。
结果发现:坚持东部饮食的人,比吃另一种模式的人,心血管风险低22%。
更有意思的是,这里有个性别差异:
•男性更受益:坚持东部饮食,男性心血管风险直接降36%,效果特别明显;
•女性有保护趋势,但没达到统计学显著——不是没用,而是女性平时饮食习惯本身就比男性健康,所以差距没那么大。

另外补充两个小结论:老年人、受教育程度较低的人,坚持东部饮食,心血管风险也会更低,虽然数据上没达到“显著”,但保护作用是明确的。
核心发现2:
防肥胖、减腹脂,比节食管用多了
饮食是肥胖的“根”,这次研究也证实:东部饮食和肥胖、中心性肥胖(就是大肚腩)呈负相关——坚持吃,肥胖风险降低16%,大肚腩风险降低17%。
更关键的是,它不只是帮你减重,还能改善脂肪分布!
研究发现,吃东部饮食的人,腹部脂肪更少,下半身脂肪更多(这种脂肪分布更健康,不容易引发代谢问题)。
咱们中国人,哪怕BMI(体重指数)和外国人一样,也更容易堆腹部脂肪——而腹部脂肪正是心血管疾病的“隐形杀手”。所以东部饮食能减腹脂,对咱们来说,比单纯减重更有意义!
至于性别差异,和心血管那边有点像:虽然防肥胖、减腹脂的效果不分男女,但在脂肪分布上,男性受益更明显——因为男性平时更爱积累内脏脂肪,饮食习惯也更糙,所以调整饮食后,变化更突出;女性本身皮下脂肪多,对饮食也更注意,所以效果没那么直观,但长期坚持一样有用。
02
拆解东部饮食
比地中海饮食更适合我们
很多人会说,这不是和地中海饮食很像吗?确实,两者的核心都是“多吃蔬果、海鲜、全谷物”,但东部饮食有4个专属中国的特色,更贴合我们的饮食习惯,也更易坚持:
1. 淡水鱼:东部水网多,淡水鱼(比如鲫鱼、鲈鱼)价格亲民,天天吃也不心疼。
研究发现,淡水鱼的营养价值和海鱼差不多,都和保护心血管的生物标志物相关——不用追求贵的海鱼,家常淡水鱼就很好。
2. 豆制品:咱们中国人爱吃豆腐、豆浆、豆干,上海地区的豆制品摄入量更是远超全国平均。
所长之前也说过,豆制品里的植物蛋白、大豆异黄酮,对代谢、血管都有好处,这次研究也证实,豆制品摄入和多种有益代谢物正相关。
3. 食用菌:咱们吃菌菇比其他地区多,种类也全(香菇、木耳、杏鲍菇等等)。
研究发现,常吃菌菇,能养肠道里的有益菌群,还能调节代谢物——肠道健康了,代谢和血管自然也会跟着好。
4. 淀粉根茎:芋头、红薯、莲藕这些,是东部人常吃的,它们能替代一部分白米饭、白面条,提供大量膳食纤维——膳食纤维的作用不用所长多说,促肠道蠕动、稳血糖、控体重,还能调节肠道菌群,营养价值不输全谷物。
还有一点很重要:东部饮食少吃精制谷物和油炸食品——这正好解决了传统中式饮食的“短板”(比如常吃白米饭导致升糖快),既符合国际膳食指南,又贴合咱们的口味。
所长有话说:
这篇研究的核心不是让大家“必须吃东部菜”,而是给我们一个可落地的健康饮食模板——它就像地中海饮食之于西方人,是适合咱们中国人的“健康饮食方案”,不用花钱买补剂,日常吃饭多注意,就能护血管、防肥胖。
普通人不用刻意复刻,记住这3点,轻松融入日常:
• 每餐保证:1种蔬菜+1种优质蛋白(海鲜、鸡蛋、豆制品、瘦肉任选);
• 主食替换:用红薯、芋头、玉米替代一半白米饭、白面条;
• 减少摄入:少点油炸、少碰加工肉、少喝酒,坚果和菌菇常吃。