都说“一夜不宿,十夜不足。”
如果一晚上不睡觉或者睡不好,后面十个晚上也难以弥补其带来的不良影响。
睡眠问题不仅会干扰我们的日常生活,还与多种疾病的发展相关。
麦角硫因凭借其强大的抗氧化、抗炎作用在抗衰界脱颖而出,
但你知道吗?
这个来自灵芝的“宝藏成分”对睡眠问题还有改善作用。
一项发表在《Journal of Functional Foods》的研究表明:食物中衍生的抗氧化剂麦角硫因可能会成为改善睡眠困难的新希望。

什么是麦角硫因?
麦角硫因是一种含硫氨基酸,在蘑菇中含量丰富,具有强大的抗氧化和抗炎作用。此前的研究表明,麦角硫因可能通过抗炎和抗氧化机制改善由心理压力引起的睡眠质量下降[1],但尚未有科学证据证明其对改善人类睡眠的有效性。
研究方法
为了阐明麦角硫因对改善人类睡眠质量的作用,研究人员进行了一项随机、安慰剂对照、双盲、平行组对比研究。
研究招募了 429 名志愿者,最终 100 名有睡眠问题的健康成年男性和女性参与了研究。他们被随机分为两组,分别每日摄入 20mg 的麦角硫因或安慰剂胶囊,持续 4 周。

研究结论
1
改善睡眠困难
通过问卷调查,麦角硫因显著改善了睡眠困难。与安慰剂组相比,每日摄入麦角硫因显著降低了睡眠困难的程度。
2
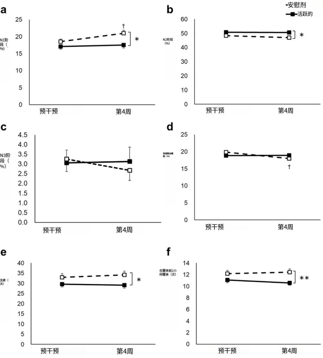
提高睡眠质量
脑电图测量结果表明,麦角硫因摄入增加了非快速眼动(NREM)睡眠中的 N2 阶段,同时减少了 N1 阶段和睡眠开始后醒来的频率。

3
影响血清代谢物
血清代谢组学分析表明,麦角硫因降低了血清谷氨酸以及抗氧化和抗炎物质的消耗,同时增强了脂质代谢。
3
分子靶向作用
体外分子靶向试验揭示,麦角硫因抑制组胺 N - 甲基转移酶和醛脱氢酶的活性,并与 α3β4 烟碱型乙酰胆碱受体结合。
总结:麦角硫因摄入可能通过多种生物机制改善人类的睡眠困难。
麦角硫因的食物来源:
●蘑菇:尤其是灵芝和松露等品种;
●坚果:如杏仁和核桃;
●豆类:如黑豆和绿豆;
●全谷物:如燕麦和糙米。
所长有话说:
这篇论文还提到了关键的一点,麦角硫因的口服剂量达到每天20毫克时利用效率较高,实验人员服用 20 毫克麦角硫因28天后,口服组血浆麦角硫因水平增加了3.2倍。
大家现在都知道了灵芝和松茸含有麦角硫因,但是要达到每日摄入20毫克,你每天可能得吃个一斤的灵芝,一般人真吃不起!所长更推荐选择含有麦角硫因的补充剂来摄入,既能保证摄入量,性价比也更高。